为深入贯彻落实党中央、国务院、省、市关于全面推行河湖长制的决策部署,加强我区河湖长制工作的组织领导,自觉接受社会监督,现将梅县区三级河长名单向社会公告。
一、区级总河长、副总河长
区第一总河长:凌云 区委书记
区总河长:王锋区委 副书记、区长
区副总河长:王宏基 副区长
区副总河长:叶铭光 副区长
区副总河长:武龙文 副区长
区级联系电话:区河长办0753-2563929
二、镇级总河长
畲江镇第一总河长:洪伟锋
畲江总河长:张剑辉
程江镇第一总河长:李建新
程江镇总河长:谢英强
南口镇第一总河长:林军新
南口镇总河长:钟文标
白渡镇第一总河长:余喜林
白渡镇总河长:肖瑜
松口镇第一总河长:宋铁军
松口镇总河长:付国栋
松源镇第一总河长:韩晓晖
松源镇总河长:古毅
隆文镇第一总河长:黄树金
隆文镇总河长:白雪丹
桃尧镇第一总河长:黎锡涛
桃尧镇总河长:古志文
扶大高管会第一总河长:谢源兴
扶大高管会河长:黎国标
新城办事处第一总河长:王志华
新城办事处总河长:肖铭浩
梅西镇第一总河长:熊秀丽
梅西镇总河长:曾永乐
梅南镇第一总河长:胡梅清
梅南镇总河长:郭帆
水车镇第一总河长:李健华
水车镇总河长:陈丹
丙村镇第一总河长:古勇科
丙村镇总河长:宋世波
石扇镇镇第一总河长:李元驹
石扇镇总河长:古富强
石坑镇第一总河长:魏南辉
石坑镇总河长:吴凡
城东镇第一总河长:姚妮雅
城东镇总河长:邓长河
雁洋镇第一总河长:刘志刚
雁洋镇总河长:杨青
大坪镇第一总河长:肖韵波
大坪镇总河长:李慧锋
三、镇级负责河长


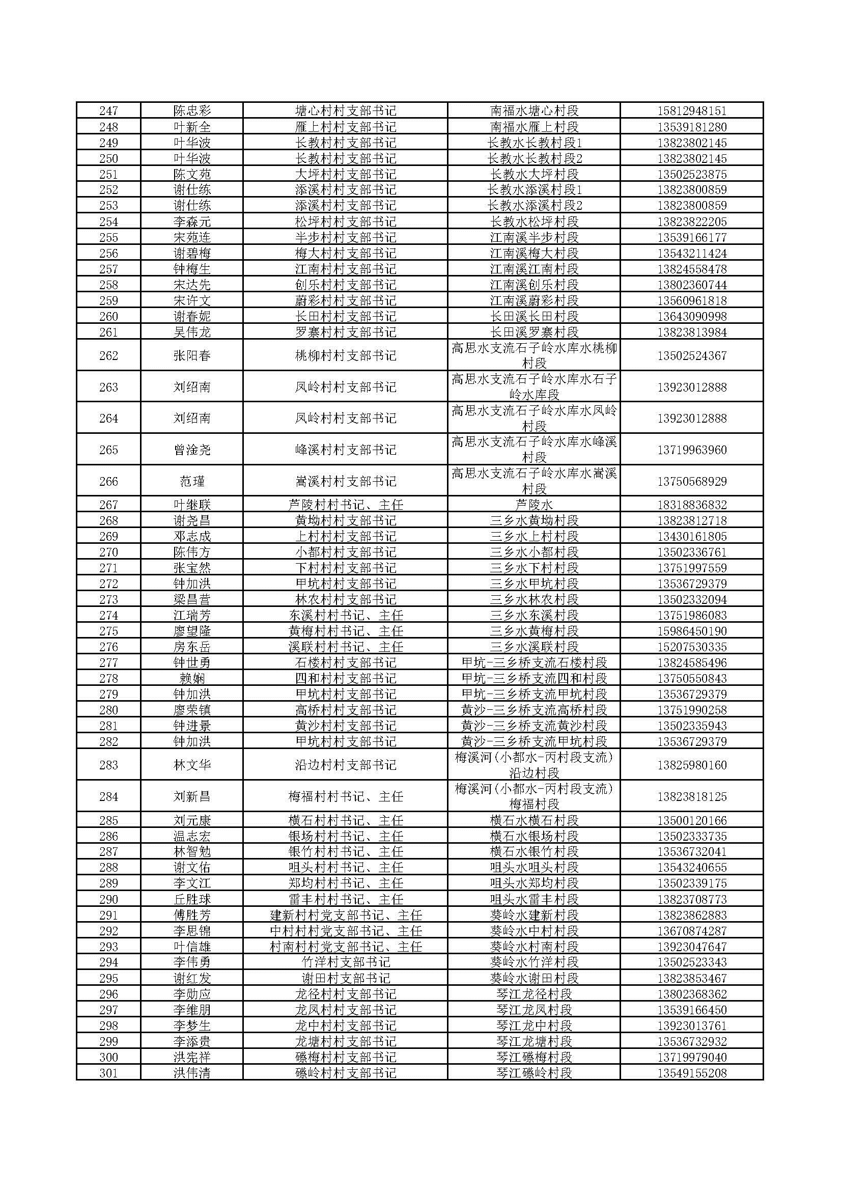
四、村级负责河长








